When configuring a WLAN with WPA2 PSK in the Cisco Wireless LAN Controller GUI, which two formats are available to select? (Choose two)
What mechanism carries multicast traffic between remote sites and supports encryption?

Refer to the exhibit. A network engineer updates the existing configuration on interface fastethernet1/1 switch SW1. It must establish an EtherChannel by using the same group designation with another vendor switch. Which configuration must be performed to complete the process?
Which two actions are performed by the Weighted Random Early Detection mechanism? (Choose two)
In which circumstance would a network architect decide to implement a global unicast subnet instead of a unique local unicast subnet?
A frame that enters a switch fails the Frame Check Sequence. Which two interface counters are incremented? (Choose two)
What protocol allows an engineer to back up 20 network router configurations globally while using the copy function?
When configuring IPv6 on an interface, which two IPv6 multicast groups are joined? (Choose two)
Which mode must be used to configure EtherChannel between two switches without using a negotiation protocol?
In which way does a spine-and-leaf architecture allow for scalability in a network when additional access ports are required?
A network engineer is replacing the switches that belong to a managed-services client with new Cisco Catalyst switches. The new switches will be configured for updated security standards, including replacing Telnet services with encrypted connections and doubling the modulus size from 1024. Which two commands must the engineer configure on the new switches? (Choose two.)
Drag and drop the DHCP snooping terms from the left onto the descriptions on the right.

Which command prevents passwords from being stored in the configuration as plain text on a router or switch?

Refer to the exhibit. All routers in the network are configured. R2 must be the DR. After the engineer connected the devices, R1 was elected as the DR. Which command sequence must be configured on R2 to be elected as the DR in the network?

An engineering team asks an implementer to configure syslog for warning conditions and error conditions. Which command does the implementer configure to achieve the desired result?
which purpose does a northbound API serve in a controller-based networking architecture?
When using Rapid PVST+, which command guarantees the switch is always the root bridge for VLAN 200?
Which resource is able to be shared among virtual machines deployed on the same physical server?
Refer to the Exhibit.

After the switch configuration the ping test fails between PC A and PC B Based on the output for switch 1. which error must be corrected?
What is the default behavior of a Layer 2 switch when a frame with an unknown destination MAC address is received?
A manager asks a network engineer to advise which cloud service models are used so employees do not have to waste their time installing, managing, and updating software which is only used occasionally Which cloud service model does the engineer recommend?
An engineer must configure a /30 subnet between two routers. Which usable IP address and subnet mask combination meets this criteria?


Refer to the exhibit. Routers R1 and R2 have been configured with their respective LAN interfaces. The two circuits are operational and reachable across the WAN. Which command set establishes failover redundancy if the primary circuit goes down?

Which device tracks the state of active connections in order to make a decision to forward a packet through?

Refer to the exhibit. R1 has taken the DROTHER role in the OSPF DR/BDR election process. Which configuration must an engineer implement so that R1 is elected as the DR?
A DHCP pool has been created with the name NOCC. The pool is using 192.168.20.0/24 and must use the next to last usable IIP address as the default gateway for the DHCP clients. What is the next step in the process?
Refer to the exhibit.

The New York router must be configured so that traffic to 2000::1 is sent primarily via the Atlanta site, with a secondary path via Washington that has an administrative distance of 2. Which two commands must be configured on the New York router? (Choose two.)
Which part of the HTTP request is used in REST API basic authentication to carry credentials?
Which action prevents debug messages from being sent via syslog while allowing other messages when an abnormally high number of syslog messages are generated by a device with the debug process turned on?
Refer to the exhibit.

The SW1 and SW2 Gi0/0 ports have been preconfigured. An engineer is given these requirements:
• Allow all PCs to communicate with each other at Layer 3.
• Configure untagged traffic to use VLAN 5.
• Disable VLAN 1 from being used.
Which configuration set meets these requirements?
Two switches are connected and using Cisco Dynamic Trunking Protocol. SW1 is set to dynamic desirable.
What is the result of this configuration?

Refer to the exhibit. Configurations for the switch and PCs are complete.
Which configuration must be applied so that VLANs 2 and 3 communicate back and forth?
A manager asks a network engineer to recommend a cloud service model so that employees do not spend time installing, managing, and updating software that is only used occasionally. Which cloud service model does the engineer recommend?
Which interface is used to send traffic to the destination network?
O 10.18.75.113/27 [110/6906] via GO/6
O 10.18.75.113/27 [110/23018] via GO/3
R 10.18.75.113/27 [120/16] via GO/16
R 10.18.75.113/27 [120/14] via GO/23
What happens when a switch receives a frame with a destination MAC addresss that recently aged out?
Which mechanism carries multicast traffic between remote sites and supports encryption?
Refer to the exhibit.

What is the next hop address for traffic that is destined to host 10.0.1.5?
Which interface is used to send traffic to the destination network?
O 10.76.170 161/26 |110/102] via FO/17
O 10.76.170 161/26[110/27e31] via FO/20
R 10.76.170.161/261120/15] via FO/8
R 10.76.170.161/26 [120/10] via FO/12

Refer to the exhibit. Which next hop is used to route packets to the application server at 152.168.32.85?
Refer to the exhibit.

Which command must be issued to enable a floating static default route on router A?
Refer to the exhibit.

Routers R1 and R3 have the default configuration The router R2 priority is set to 99 Which commands on R3 configure it as the DR in the 10.0.4.0/24 network?
Refer to the exhibit.

What is the next hop for traffic entering R1 with a destination of 10.1.2.126?
A network administrator is setting up a new IPv6 network using the 64-bit address 2001 0EB8 00C1 2200:0001 0000 0000 0331/64 To simplify the configuration the administrator has decided to compress the address Which IP address must the administrator configure?
Refer to the exhibit.

Which two commands when used together create port channel 10? (Choose two.)
An engineer is configuring SSH version 2 exclusively on the R1 router. What is the minimum configuration required to permit remote management using the cryptographic protocol?

Refer to the exhibit.

The following must be considered:
• SW1 is fully configured for all traffic
• The SW4 and SW9 links to SW1 have been configured
• The SW4 interface Gi0/1 and Gi0/0 on SW9 have been configured
• The remaining switches have had all VLANs adde d to their VLAN database
Which configuration establishes a successful ping from PC2 to PC7 without interruption to traffic flow between other PCs?
A)

B)

C)

D)

Refer to the exhibit.

The LACP EtherChannel is configured, and the last change is to modify the interfaces on SwitchA to respond to packets received, but not to initiate negotiation. The interface range gigabitethernet0/0-15 command is entered. What must be configured next?
Refer to the exhibit.

What is the metric for the route to the 192.168.10.33 host?

Refer to the exhibit. An LACP EtherChannel between two directly connected switches is in the configuration process.
Which command must be configured on switch SW2’s Gi0/1-2 interfaces to establish the channel to SW1?
Refer to the exhibit.

What is the subnet mask of the route to the 10.10.13.160 prefix?
A new DHCP server has been deployed in a corporate environment with lease time set to eight hours. Which CMD command on a Windows-based device allows the engineer to verify the DHCP lease expiration?
Refer to the exhibit.

The router has been configured with a supernet to accommodate the requirement for 380 users on a subnet The requirement already considers 30% future growith. Which configuration verifies the IP subnet on router R4?
A)

B)

C)

D)

Refer to the exhibit.

A static route must be configured on R14 to forward traffic for the 172.21.34.0/25 network that resides on R86 Which command must be used to fulfill the request?
Which interface is used to send traffic to the destination network?
10.90.207.87/26 [110/1912] via F0/7
10.90.207.87/26 [110/28968] via F0/6
10.90.207.87/26 [120/14] via F0/4
10.90.207.87/26 [120/11] via F0/5

Refer to the exhibit. A network engineer must replicate the AccessSw1 NTP configuration on a new switch. The engineer could not access privileged mode on AccessSw1 to view its configuration.
Which command must be applied to the new switch to replicate the configuration?
Which interface mode must be configured to connect the lightweight APs in a centralized architecture?
Refer to the exhibit.

Which command configures OSPF on the point-to-point link between routers R1 and R2?
An engineer has configured the domain name, user name, and password on the local router. What is the next step to complete the configuration tor a Secure Shell access RSA key?
Drag and drop the steps in a standard DNS lookup operation froin the let into the order on the right.

R1 has learned route 192.168.12.0/24 via IS-IS. OSPF, RIP. and Internal EIGRP Under normal operating conditions, which routing protocol is installed in the routing table?
An administrator must use the password complexity not manufacturer-name command to prevent users from adding “cisco” as a password. Which command must be issued before this command?
Refer to the exhibit.

Which two commands must be added to update the configuration of router R1 so that it accepts only encrypted connections? (Choose two )
Refer to the exhibit.

What are two conclusions about this configuration? {Choose two.)
Refer to the exhibit.

Which configuration enables DHCP addressing for hosts connected to interface FastEthernet0/1 on router R4?
Refer to the exhibit.

For security reasons, automatic Neighbor Discovery must be disabled on the R5 Gi0/1 interface. These tasks must be completed:
• Disable all Neighbor Discovery methods on R5 interface GiO/1.
• Permit Neighbor Discovery on R5 interface GiO/2.
• Verify there are no dynamically learned neighbors on R5 interface Gi0/1.
• Display the IP address of R6*s interface Gi0/2.
Which configuration must be used?

Drag and drop the HTTP methods used with REST-Based APIs from the left onto the descriptions on the right.

Which two practices are recommended for an acceptable security posture in a network? (Choose two)
Refer to the exhibit.

Which per-hop QoS behavior is R1 applying to incoming packets?
R1 has learned route 192.168.12.0/24 via IS-IS, OSPF, RIP, and Internal EIGRP. Under normal operating conditions, which routing protocol ' s route will be installed in the routing table?
Refer to the exhibit.

An engineer is asked to insert the new VLAN into the existing trunk without modifying anything previously configured Which command accomplishes this task?
Refer to the exhibit.

A network administrator has been tasked with securing VTY access to a router. Which access-list entry accomplishes this task?
A network engineer must implement an IPv6 configuration on the VLAN 2000 interface to create a routable locally-unique unicast address that is blocked from being advertised to the internet. Which configuration must the engineer apply?
Refer to the exhibit.

A network engineer must update the configuration on Switch2 so that it sends LLDP packets every minute and the information sent via LLDP is refreshed every 3 minutes Which configuration must the engineer apply?
A)

B)

C)

D)

An engineer is configuring switch SW1 to act an NTP server when all upstream NTP server connectivity fails. Which configuration must be used?
A)

B)

C)

D)

Refer to the exhibit.

Site A was recently connected to site B over a new single-mode fiber path. Users at site A report Intermittent connectivity Issues with applications hosted at site B. What is the reason for the problem?
Refer to the exhibit.

What are the two steps an engineer must take to provide the highest encryption and authentication using domain credentials from LDAP?
A Cisco engineer is configuring a factory-default router with these three passwords:
• The user EXEC password for console access is p4ssw0rd1
• The user EXEC password for Telnet access is s3cr3t2
• The password for privileged EXEC mode is pr1v4t3p4ss Which command sequence must the engineer configured
A)

B)

C)

D)

Refer to the exhibit.

Which next-hop IP address does Routed use for packets destined to host 10 10.13.158?
Refer to the exhibit.

A company is configuring a failover plan and must implement the default routes in such a way that a floating static route will assume traffic forwarding when the primary link goes down. Which primary route configuration must be used?
OSPF must be configured between routers R1 and R2. Which OSPF configuration must be applied to router R1 to avoid a DR/BDR election?
Refer to the exhibit.

Host A sent a data frame destined for host D

What does the switch do when it receives the frame from host A?
Refer to the exhibit.

Router R1 must be configured to reach the 10.0.3.0/24 network from the 10.0.1.0/24 segment.
Which command must be used to configure the route?
Which characteristic differentiates the concept of authentication from authorization and accounting?
Which type of API allows SDN controllers to dynamically make changes to the network?
Refer to the exhibit.

An engineer is configuring an EtherChannel using LACP between Switches 1 and 2 Which configuration must be applied so that only Switch 1 sends LACP initiation packets?
A network engineer is configuring a switch so that it is remotely reachable via SSH. The engineer has already configured the host name on the router. Which additional command must the engineer configure before entering the command to generate the RSA key?
Refer to the exhibit.

A network engineer configures the Cisco WLC to authenticate local wireless clients against a RADIUS server Which task must be performed to complete the process?
What is a reason to configure a trunk port that connects to a WLC distribution port?
Refer to the exhibit.

R1 learns all routes via OSPF Which command configures a backup static route on R1 to reach the 192 168.20.0/24 network via R3?
Refer to the exhibit.

Traffic sourced from the loopback0 Interface is trying to connect via ssh to the host at 10.0.1.15. What Is the next hop to the destination address?
Refer to the exhibit.

The EtherChannel is configured with a speed of 1000 and duplex as full on both ends of channel group 1. What is the next step to configure the channel on switch A to respond to but not initiate LACP communication?
A network analyst is tasked with configuring the date and time on a router using EXEC mode. The date must be set to January 1. 2020 and the time must be set to 12:00 am. Which command should be used?
What is an advantage of using auto mode versus static mode for power allocation when an access point is connected to a PoE switch port?
Refer to the exhibit.

How many objects are present in the given JSON-encoded data?
Drag and drop the use cases for device-management technologies from the left onto the corresponding.

Refer to the exhibit.

Routers R1 and R2 are configured with RIP as the dynamic routing protocol. A network engineer must configure R1 with a floating static route to serve as a backup route to network 192.168.23. Which command must the engineer configure on R1?
Refer to the exhibit.

A newly configured PC fails to connect to the internet using TCP port 80 to www cisco com Which setting must be modified for the connection to work?
Which type of address is shared by routers in a HSRP implementation and used by hosts on the subnet as their default gateway address?
Refer to the exhibit.

Which entry is the longest prefix match for host IP address 192.168.10.5?
A network engineer must configure an interface with IIP address 10.10.10.145 and a subnet mask equivalent to 11111111.11111111.11111111.11111000. Which subnet mask must the engineer use?
Which protocol is used in Software Defined Access (SDA) to provide a tunnel between two edge nodes in different fabrics?
An engineer must configure a core router with a floating static default route to the backup router at 10.200.0.2.

Refer to the exhibit
.

After configuring a new static route on the CPE. the engineer entered this series of commands to verify that the new configuration is operating normally When is the static default route installed into the routing table?
Refer to the exhibit.

A Cisco engineer creates a new WLAN called lantest. Which two actions must be performed so that only high-speed 2.4-GHz clients connect? (Choose two.)
Refer to the exhibit.

An engineer is updating the management access configuration of switch SW1 to allow secured, encrypted remote configuration. Which two commands or command sequences must the engineer apply to the switch? (Choose two.)
Refer to the exhibit.

PC1 regularly sends 1800 Mbps of traffic to the server. A network engineer needs to configure the EtherChannel to disable Port Channel 1 between SW1 and SW2 when the Ge0/0 and Ge0/1 ports on SW2 go down. Which configuration must the engineer apply to the switch?
A)

B)

C)

D)

Refer to the exhibit.
An engineer assigns IP addressing to the current VLAN with three PCs. The configuration must also account for the expansion of 30 additional VLANS using the same Class C subnet for subnetting and host count. Which command set fulfills the request while reserving address space for the expected growth?
Refer to the exhibit.

Rapid PVST+ mode is on the same VLAN on each switch. Which switch becomes the root bridge and why?
The clients and DHCP server reside on different subnets. Which command must be used to forward requests and replies between clients on the 10.10.0.1/24 subnet and the DHCP server at 192.168.10.1?
Which syslog severity level is considered the most severe and results in the system being considered unusable?
Refer to the exhibit.

What is represented by the word " switch’’ in line 2 of the JSON schema?
Refer to the exhibit.

A network engineer executes the show ip route command on router D. What is the next hop to network 192.168.1.0/24 and why?
Which channel-group mode must be configuredd when multiple distribution interfaces connected to a WLC are bundled?
Which two server types support domain name to IP address resolution? (Choose two >
A packet from a company s branch office is destined to host 172.31.0.1 at headquarters. The sending router has three possible matches in its routing table for the packet prefixes: 172.31.0.0/16, 172.31.0.0/24, and 172.31.0.0/25. How does the router handle the packet?
NO: 346
What must a network administrator consider when deciding whether to configure a new wireless network with APs in autonomous mode or APs running in cloud-based mode?
Autonomous mode APs are less dependent on an underlay but more complex to maintain than APs in cloud-based mode.
Cloud-based mode APs rely on underlays and are more complex to maintain than APs in autonomous mode.
Refer to the exhibit.

Which two values does router R1 use to determine the best path to reach destinations in network 10.0.0.0/8? (Choose two.)
Refer to the exhibit.

R1 has just received a packet from host A that is destined to host B. Which route in the routing table is used by R1 to reach host B?
Which cipher is supported for wireless encryption only with the WPA2 standard?
Drag and drop the IPv6 address types from the left onto their description on the right.

Which advantage does the network assurance capability of Cisco DNA Center provide over traditional campus management?
Refer to the exhibit.

What is the prefix length for the route that router1 will use to reach host A?

Refer to the exhibit. An engineer is using the Cisco WLC GUI to configure a WLAN for WPA2 encryption with AES and pre-shared key Cisc0123456. After the engineer selects the WPA + WPA2 option froin the Layer 2 Security drop-down, which two tasks must they perform to complete the process? (Choose two)

Refer to the exhibit Routers R1 R2 and R3 use a protocol to identify their neighbors ' IP addresssses hardware platforms, and software versions. A network engineer must configure R2 to avoid sharing any neighbor information with R3, and maintain its relationship with R1. What action meets this requirement?
Drag and drop the IPv4 network subnets from the left onto the correct usable host ranges on the right

Refer to the exhibit.

An extended ACL has been configured and applied to router R2 The configuration failed to work as intended Which two
changes stop outbound traffic on TCP ports 25 and 80 to 10.0.20 0 26 from the 10.0.10 0/26 subnet while still allowing all other traffic? (Choose
two )
In which two ways does a password manager reduce the chance of a hacker stealing a users password? (Choose two.)
Which interface IP addressss serves as the tunnel source for CAPWAP packets froin the WLC to an AP?

Refer to the exhibit. A network engineer is adding another physical interface as a new member to the existing Port-Channel1 bundle.
Which command set must be configured on the new interface to complete the process?
Refer to the exhibit.

An engineer must document all Wi-Fi services on a new wirelesss LAN controller. The Wi-Fi SSID " Office_WLan " has Layer 2 Security. What is determined by this configuration?
Which command creates a static NAT binding for a PC addresss of 10.1.1.1 to the public routable addresss 209.165.200.225 assigned to the PC?
Refer to the exhibit.

An engineer configures interface fa0/1 on SW1 and SW2 to pass traffic from two different VLANs. For security reasons, company policy requires the native VLAN to be set to a nondefault value. Which configuration meets this requirement?
A)

B)

C)

D)

Refer to the exhibit.

What does route 10.0.1.3/32 represent in the routing table?

Refer to the exhibit. The My_WLAN wirelesss LAN was configured with WPA2 Layer 2 PSK security. Which additional configuration must the administrator perform to allow users to connect to this WKAN on a different subnet called Data?
A switch is forwarding a frame out of all interfaces except the interface that received the frame. What is the technical term for this process?
Which technology allows multiple operating systems to run a single physical server?

Refer to the exhibit. A network engineer must configure the CPE router to allow computers in the 172.20.1.0/24 network to obtain their IP configurations froin the central DHCP server. Which configuration must the engineer apply to the CPE?
A default route must be configured to temporarily use a local broadband modem with the IP addressss of 192.168.1.1 until a WAN circuit is installed. The WAN circuit will use an external routing protocol that exchanges network prefixes between two separate autonomous systems on the Internet. Only a default route will be received by the ISP Which configuration must be applied to allow the new WAN circuit to take precedence when It Is In place?
A network engineer starts to implement a new wirelesss LAN by configuring the authentication server and creating the dynamic Interface. What must be performed next to complete the basic configuration?
Refer to the exhibit.
PC A and the file server. Which command must be configured on switch A to prevent interruption of other communications?

Drag and drop the TCP and UDP characteristics froin the left onto the supporting protocols on the right. Not all options are used.

Refer to the exhibit.

A new VLAN and switch are added to the network. A remote engineer configures OldSwitch and must ensure that the configuration meets these requirements:
• accommodates current configured VLANs
• expands the range to include VLAN 20
• allows for IEEE standard support for virtual LANs
Which configuration on the NewSwitch side of the link meets these requirements?
A)

B)

C)

D)


Refer to the exhibit. Clients on the WLAN are required to use 802.11r. What action must be taken to meet the requirement?

Refer to the exhibit. The Wi-Fi SSID " Office_WLAN " has Layer 2 Security configured with MAC filtering enabled. What additional security is provided by this specific feature?
Drag and drop the statements about access-point modes from the left onto the corresponding modes on the right.

Refer to the exhibit.

Which action by the router when a packet is sourced from 10.10.10.2 and destined 10.10.10.16?
A router has two static routes to the same destination network under the same OSPF process. How does the router forward packets to the destination if the next-hop devices are different?
Refer to the exhibit.

An engineer is configuring a Layer 3 port-channel interface with LACP. The configuration on the first device is complete, and it is verified that both interfaces have registered the neighbor device in the CDP table. Which task on the neighbor device enables the new port channel to come up without negotiating the channel?
An engineer is configuring a switch port that is connected to a VoIP handset. Which command must the engineer configure to enable port security with a manually assigned MAC address of abcd.abcd.abcd on voice VLAN 4?
Which action implements physical access control as part of the security program of an organization??
Which command configures the Cisco WLC to prevent a serial session with the WLC CLI from being automatical togged out?

Refer to the exhibit. An engineer is building a new Layer 2 LACP EtherChannel between SW1 and SW2. and they executed the given show commands to verify the work Which additional task must be performed so that the switches successfully bundle the second member in the LACP port-channel?
Drag and drop the TCP/IP protocols from the left onto their primary transmission protocols on the right.

When a switch receives a frame for an unknown destination MAC address, how is the frame handled?
To improve corporate security, an organization is planning to implement badge authentication to limit access to the data center. Which element of a security program is being deployed?
What is the purpose of using First Hop Redundancy Protocol on a specific subnet?
Refer to the exhibit.

A network administrator must permit SSH access to remotely manage routers in a network. The operations team resides on the 10.20.1.0/25 network. Which command will accomplish this task?
What is the difference regarding reliability and communication type between TCP and UDP?
Which two minimum parameters must be configured on an active interface to enable OSPFv2 to operate? (Choose two)
Refer to the exhibit.

An engineer configured NAT translations and has verified that the configuration is correct.
Which IP address is the source IP?
An email user has been lured into clicking a link in an email sent by their company ' s security organization. The webpage that opens reports that it was safe but the link could have contained malicious code. Which type of security program is in place?
Drag and drop the SNMP manager and agent identifier commands from the left onto the functions on the right

Refer to the exhibit.

Which type of route does R1 use to reach host 10.10.13.10/32?
Which network allows devices to communicate without the need to access the Internet?
Which IPv6 address block sends packets to a group address rather than a single address?
Refer to the exhibit.

An access list is required to permit traffic from any host on interface G0/0 and deny traffic from interface G/0/1. Which access list must be applied?

What is a network appliance that checks the state of a packet to determine whether the packet is legitimate?
Refer to the exhibit.

Which switch in this configuration will be elected as the root bridge?

A network engineer must configure the router R1 GigabitEthernet1/1 interface to connect to the router R2 GigabitEthernet1/1 interface. For the configuration to be applied the engineer must compress the address 2001:0db8:0000:0000:0500:000a:400F:583B. Which command must be issued on the interface?
Refer to the exhibit.

Which configuration issue is preventing the OSPF neighbor relationship from being established between the two routers?
Which action does the router take as it forwards a packet through the network?
Refer to the exhibit.

Only four switches are participating in the VLAN spanning-tree process.
Branch-1 priority 614440
Branch-2: priority 39082416
Branch-3: priority 0
Branch-4: root primary
Which switch becomes the permanent root bridge for VLAN 5?
If a switch port receives a new frame while it is actively transmitting a previous frame, how does it process the frames?
Drag and drop the statement about networking from the left into the Corresponding networking types on the right. Not all statements are used.

Refer to the exhibit.

Which action is expected from SW1 when the untagged frame is received on the GigabitEthernet0/1 interface?
Which two primary drivers support the need for network automation? (Choose two.)
Router A learns the same route from two different neighbors, one of the neighbor routers is an OSPF neighbor and the other is an EIGRP neighbor. What is the administrative distance of the route that will be installed in the routing table?
Which statement correctly compares traditional networks and controller-based networks?
Refer to Exhibit.

An engineer is configuring the NEW York router to reach the Lo1 interface of the Atlanta router using interface Se0/0/0 as the primary path. Which two commands must be configured on the New York router so that it can reach the Lo1 interface of the Atlanta router via Washington when the link between New York and Atlanta goes down? (Choose two)
Refer to the exhibit.

An engineer deploys a topology in which R1 obtains its IP configuration from DHCP. If
the switch and DHCP server configurations are complete and correct. Which two sets of commands must be configured on R1 and R2 to complete the task? (Choose two)
How do traditional campus device management and Cisco DNA Center device management differ in regards to deployment?
Refer to the exhibit.

Which two commands, when configured on router R1, fulfill these requirements? (Choose two.)
Packets towards the entire network 2001:db8:2::/64 must be forwarded through router R2.
Packets toward host 2001:db8:23::14 preferably must be forwarded through R3.
A network analyst is tasked with configure the date and time on a router using EXEC mode. The date must be set to 12:00am. Which command should be used?
Which type of IPv6 address is publicly routable in the same way as IPv4 public address?
Refer to the exhibit.

A packet is being sent across router R1 to host 172.163.3.14. To which destination does the router send the packet?
Refer to Exhibit.

How does SW2 interact with other switches in this VTP domain?
After installing a new Cisco ISE server, which task must the engineer perform on the Cisco WLC to connect wireless clients on a specific VLAN based on their credentials?
which IPv6 address block forwards packets to a multicast address rather than a unicast address?
Which goal is achieved by the implementation of private IPv4 addressing on a network?
Which unified access point mode continues to serve wireless clients after losing connectivity to the Cisco Wireless LAN Controller?
An engineer requires a scratch interface to actively attempt to establish a trunk link with a neighbor switch. What command must be configured?
When the active router in an HSRP group fails, what router assumes the role and forwards packets?
An engineer must configure an OSPF neighbor relationship between router R1 and R3 The authentication configuration has been configured and the connecting interfaces are in the same 192.168 1.0/30 sublet. What are the next two steps to complete the configuration? (Choose two.)
An engineer is configuring NAT to translate the source subnet of 10.10.0.0/24 to any of three addresses 192.168.30.1, 192.168.3.2, 192.168.3.3 Which configuration should be used?


Refer to the exhibit.

An engineer configured the New York router with static routes that point to the Atlanta and Washington sites. When command must be configured on the Atlanta and Washington routers so that both sites are able to reach the loopback2 interface on the New York router?
Which configuration management mechanism uses TCP port 22 by default when communicating with managed nodes?
Which two must be met before SSH can operate normally on a Cisco IOS switch? (Choose two)
Which 802.11 frame type is indicated by a probe response after a client sends a probe request?
A wireless administrator has configured a WLAN; however, the clients need access to a less congested 5-GHz network for their voice quality. What action must be taken to meet the requirement?
A network administrator is asked to configure VLANs 2, 3 and 4 for a new implementation. Some ports must be assigned to the new VLANs with unused remaining. Which action should be taken for the unused ports?
What are two similarities between UTP Cat 5e and Cat 6a cabling? (Choose two.)
The service password-encryption command is entered on a router. What is the effect of this configuration?
On workstations running Microsoft Windows, which protocol provides the default gateway for the device?
Refer to the exhibit.

What action establishes the OSPF neighbor relationship without forming an adjacency?
Drag the descriptions of IP protocol transmissions from the left onto the IP traffic types on the right.

A Cisco IP phone receive untagged data traffic from an attached PC. Which action is taken by the phone?
Refer to the exhibit.

Based on the LACP neighbor status, in which mode is the SW1 port channel configured?
Refer to Exhibit.

Which configuration must be applied to the router that configures PAT to translate all addresses in VLAN 200 while allowing devices on VLAN 100 to use their own IP addresses?

What makes Cisco DNA Center different from traditional network management applications and their management of networks?
What role does a hypervisor provide for each virtual machine in server virtualization?
Refer to the exhibit.

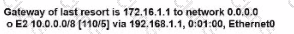
Router R2 is configured with multiple routes to reach network 10 1.1 0/24 from router R1. What protocol is chosen by router R2 to reach the destination network 10.1 1 0/24?
Refer to the exhibit.

An administrator is tasked with configuring a voice VLAN. What is the expected outcome when a Cisco phone is connected to the GigabitEthernet3/1/4 port on a switch?
Refer to the exhibit.

Which two prefixes are included in this routing table entry? (Choose two.)
Physical connectivity is implemented between the two Layer 2 switches, and the network connectivity between them must be configured
1. Configure an LACP EtherChannel and number it as 1; configure it between switches SW1 and SVV2 using interfaces Ethernet0/0 and Ethernet0/1 on both sides. The LACP mode must match on both ends
2 Configure the EtherChannel as a trunk link.
3. Configure the trunk link with 802.1 q tags.
4. Configure the native VLAN of the EtherChannel as VLAN 15.



Three switches must be configured for Layer 2 connectivity. The company requires only the designated VLANs to be configured on their respective switches and permitted accross any links between switches for security purposes. Do not modify or delete VTP configurations.
The network needs two user-defined VLANs configured:
VLAN 110: MARKETING
VLAN 210: FINANCE
1. Configure the VLANs on the designated switches and assign them as access ports to the interfaces connected to the PCs.
2. Configure the e0/2 interfaces on Sw1 and Sw2 as 802.1q trunks with only the required VLANs permitted.
3. Configure the e0/3 interfaces on Sw2 and Sw3 as 802.1q trunks with only the required VLANs permitted.




IP connectivity and OSPF are preconfigured on all devices where necessary. Do not make any changes to the IP addressing or OSPF. The company policy uses connected interfaces and next hops when configuring static routes except for load balancing or redundancy without floating static. Connectivity must be established between subnet 172.20.20.128/25 on the Internet and the LAN at 192.168.0.0/24 connected to SW1:
1. Configure reachability to the switch SW1 LAN subnet in router R2.
2. Configure default reachability to the Internet subnet in router R1.
3. Configure a single static route in router R2 to reach to the Internet subnet considering both redundant links between routers R1 and R2. A default route is NOT allowed in router R2.
4. Configure a static route in router R1 toward the switch SW1 LAN subnet where the primary link must be through Ethernet0/1. and the backup link must be through Ethernet0/2 using a floating route. Use the minimal administrative distance value when required.
All physical cabling is in place. Router R4 and PCI are fully configured and
inaccessible. R4 ' s WAN interfaces use .4 in the last octet for each subnet.
Configurations should ensure that connectivity is established end-to-end.
1 . Configure static routing to ensure RI prefers the path through R2 to
reach only PCI on R4 ' s LAN
2. Configure static routing that ensures traffic sourced from RI will take
an alternate path through R3 to PCI in the event of an outage along
the primary path
3. Configure default routes on RI and R3 to the Internet using the least number of hops
Guidelines
This is a lab item in which tasks will be performed on virtual devices.
• Refer to the Tasks tab to view the tasks for this lab item.
• Refer to the Topology tab to access the device console(s) and perform the tasks.
• Console access is available for all required devices by clicking the device icon or using
the tab(s) above the console window.
• All necessary preconfigurations have been applied.
• Do not change the enable password or hostname for any device.
• Save your configurations to NVRAM before moving to the next item.
• Click Next at the bottom of the screen to submit this lab and move to the next question.
• When Next is clicked, the lab closes and cannot be reopened.

Connectivity between four routers has been established. IP connectivity must be configured in the order presented to complete the implementation. No dynamic routing protocols are included.
1. Configure static routing using host routes to establish connectivity from router R3 to the router R1 Loopback address using the source IP of 209.165.200.230.
2. Configure an IPv4 default route on router R2 destined for router R4.
3. Configure an IPv6 default router on router R2 destined for router R4.


Physical connectivity is implemented between the two Layer 2 switches,
and the network connectivity between them must be configured.
I . Configure an LACP EtherChanneI and number it as 44; configure it
between switches SWI and SW2 using interfaces EthernetO/O and
Ethernet0/1 on both sides. The LACP mode must match on both ends.
2. Configure the EtherChanneI as a trunk link.
3. Configure the trunk link with 802. Iq tags.
4. Configure VLAN ' MONITORING ' as the untagged VLAN of the
EtherChannel.
==================
Guidelines
This is a lab item in which tasks will be performed on virtual devices.
• Refer to the Tasks tab to view the tasks for this lab item.
• Refer to the Topology tab to access the device console(s) and perform the tasks.
• Console access is available for all required devices by clicking the device icon or using
the tab(s) above the console window.
• All necessary preconfigurations have been applied.
• Do not change the enable password or hostname for any device.
• Save your configurations to NVRAM before moving to the next item.
• Click Next at the bottom of the screen to submit this lab and move to the next question.
• When Next is clicked, the lab closes and cannot be reopened.

Configure IPv4 and IPv6 connectivity between two routers. For IPv4, use a /28 network from the 192.168.1.0/24 private range. For IPv6, use the first /64 subnet from the 2001:0db8:aaaa::/48 subnet.
1. Using Ethernet0/1 on routers R1 and R2, configure the next usable/28 from the 192.168.1.0/24 range. The network 192.168.1.0/28 is unavailable.
2. For the IPv4 /28 subnet, router R1 must be configured with the first usable host address.
3. For the IPv4 /28 subnet, router R2 must be configured with the last usable host address.
4. For the IPv6 /64 subnet, configure the routers with the IP addressing provided from the topology.
5. A ping must work between the routers on the IPv4 and IPv6 address ranges.




IP connectivity between the three routers is configured. OSPF adjacencies must be established.
1. Configure R1 and R2 Router IDs using the interface IP addresses from the link that is shared between them.
2. Configure the R2 links with a max value facing R1 and R3. R2 must become the DR. R1 and R3 links facing R2 must remain with the default OSPF configuration for DR election. Verify the configuration after clearing the OSPF process.
3. Using a host wildcard mask, configure all three routers to advertise their respective Loopback1 networks.
4. Configure the link between R1 and R3 to disable their ability to add other OSPF routers.
All physical cabling is in place. A company plans to deploy 32 new sites.
The sites will utilize both IPv4 and IPv6 networks.
1 . Subnet 172.25.0.0/16 to meet the subnet requirements and maximize
the number of hosts
Using the second subnet
• Assign the first usable IP address to e0/0 on Sw1O1
• Assign the last usable IP address to e0/0 on Sw102
2. Subnet to meet the subnet requirements and maximize
the number of hosts
c Using the second subnet
• Assign an IPv6 GUA using a unique 64-Bit interface identifier
on e0/0 on Sw101
• Assign an IPv6 GUA using a unique 64-Bit interface identifier
on eO/O on swi02
Guidelines
This is a lab item in which tasks will be performed on virtual devices.
• Refer to the Tasks tab to view the tasks for this lab item.
• Refer to the Topology tab to access the device console(s) and perform the tasks.
• Console access is available for all required devices by clicking the device icon or using
the tab(s) above the console window.
• All necessary preconfigurations have been applied.
• Do not change the enable password or hostname for any device.
• Save your configurations to NVRAM before moving to the next item.
• Click Next at the bottom of the screen to submit this lab and move to the next question.
• When Next is clicked, the lab closes and cannot be reopened.



Connectivity between three routers has been established, and IP services must be configured jn the order presented to complete the implementation Tasks assigned include configuration of NAT, NTP, DHCP, and SSH services.
1. All traffic sent from R3 to the R1 Loopback address must be configured for NAT on R2. All source addresses must be translated from R3 to the IP address of Ethernet0/0 on R2, while using only a standard access list named NAT To verify, a ping must be successful to the R1 Loopback address sourced from R3. Do not use NVI NAT configuration.
2. Configure R1 as an NTP server and R2 as a client, not as a peer, using the IP address of the R1 Ethernet0/2 interface. Set the clock on the NTP server for midnight on January 1, 2019.
3. Configure R1 as a DHCP server for the network 10.1.3.0/24 in a pool named TEST. Using a single command, exclude addresses 1-10 from the range. Interface Ethernet0/2 on R3 must be issued the IP address of 10.1.3.11 via DHCP.
4. Configure SSH connectivity from R1 to R3, while excluding access via other remote connection protocols. Access for user root and password Cisco must be set on router R3 using RSA and 1024 bits. Verify connectivity using an SSH session from router R1 using a destination address of 10.1.3.11. Do NOT modify console access or line numbers to accomplish this task.

All physical cabling between the two switches is installed. Configure the network connectivity between the switches using the designated VLANs and interfaces.
1. Configure VLAN 100 named Compute and VLAN 200 named Telephony where required for each task.
2. Configure Ethernet0/1 on SW2 to use the existing VLAN named Available.
3. Configure the connection between the switches using access ports.
4. Configure Ethernet0/1 on SW1 using data and voice VLANs.
5. Configure Ethemet0/1 on SW2 so that the Cisco proprietary neighbor discovery protocol is turned off for the designated interface only.
